VR4RoboticArm3/VR4RoboticArm/Library/PackageCache/com.unity.shadergraph/Documentation~/Length-Node.md
IonutMocanu 1d45ac8df0 Main1
2025-09-15 21:53:38 +03:00

892 B

Length Node

Description

Returns the length of input In. This is also known as magnitude. A vector's length is calculated with Pythagorean Theorum.

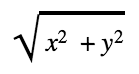
The length of a Vector 2 can be calculated as:

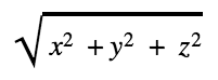
Where x and y are the components of the input vector. Length can be calculated for other dimension vectors by adding or removing components.

And so on.

Ports

Name Direction Type Description
In Input Dynamic Vector Input value
Out Output Float Output value

Generated Code Example

The following example code represents one possible outcome of this node.

void Unity_Length_float4(float4 In, out float Out)
{
    Out = length(In);
}